中間層の暮らし向きは案外良くないというタイトルの論文が、労働政策研究・研修機構というところから出ていました(篠崎・高橋(2025))。日本の分析でもあったので、気になって読んでみると、
暮らし向きに関する厚生労働省の調査(国民生活基礎調査)の分析から、現役世代(18-64歳)・高齢世代(65歳以上)のいずれも1990年代から2010年代にかけて暮らし向きが低下傾向にあったとしています。
さらにこれを所得階層別にみてみると、中間層(中間所得層)の低下が最も大きく、もっと細かくみると、中間層のなかでも中位層や上位層の落ち込みが特に大きくなったと指摘しています。
また、論文では中間層に焦点を絞って、暮らし向きに影響を与える要因について分析を行っています(2007年と2022年について)。最近取り上げている労働時間については、家庭内における妻の労働時間が有意な影響を与えると指摘していて、1次の項でみると効果はマイナスで、妻の労働時間が増えるほど暮らし向きは低下していく傾向にあるようです。
ただ、論文では2次の項についても分析しているのですが、こちらについては、2022年の調査では統計的に有意なプラスの効果が検出されていて、1次の項が示す不効用が、直近ではどこかで下げ止まっている可能性があると指摘しています。
一方で、妻の雇用形態については、正規雇用の時に、プラスの効果があると検出されていて、就業形態として正規雇用が広がることは、暮らし向きという点から望ましいとしています。
そうすると、保育政策や職業訓練政策が、今後益々重要になる、ということですかね(論文でも言っていますが)。
子育て政策ということでは、論文はこの中間層の暮らし向きに影響を与える要因の分析の中で、もう1つ興味深い分析を行っていて、子供の数と暮らし向きの関係を調べています。
結果として、2007年の時には、“子供2人”の変数が統計的に有意なマイナスの効果となっているのですが、2022年にはこれが消えてしまっています。これは子供に関する補助金や支援金が様々拡充された効果であることが推測され、こうした政策の重要性が、ここからもうかがえます。
それにしても、“中間層”に絞った研究って、正直あまり知りません。こういうのも面白そうだなと、今回は思いました。
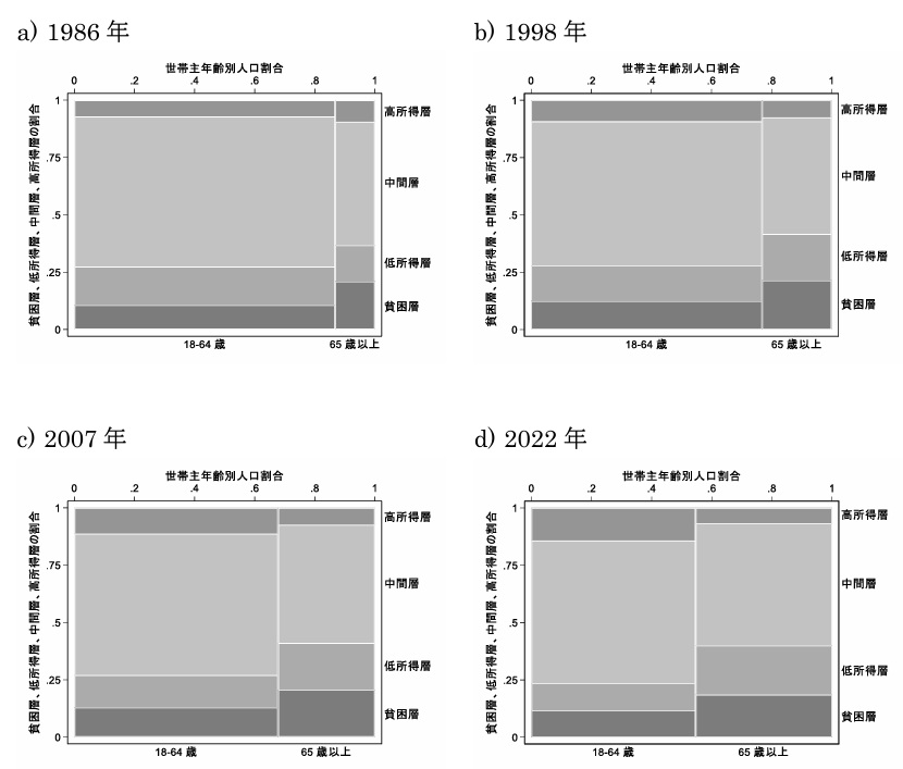
因みに、高齢世代(65歳以上)についてなんですが、基本的に退職して年金生活になってしまう(最近は皆さんお元気なので、そうでもないですが)ため、全世代ベースで分類すると、所得が低い層に分類される人が多くなってしまうわけですが、それでも、そうした人の割合は、昔は今より少なく、2000年代くらいから増えているのかなと、勝手に思っていました。
ただ、論文では現役世代・高齢世代それぞれの所得構成を、1980年代~2020年代にかけてグラフにしているのですが、これをみると、中間よりも所得が低くなる高齢者の方の割合は、1980年代~2020年代でほとんど変化がないという結果になっています。
図1. 中間層の割合の変化と人口構成の高齢化の関係

(出所)篠崎・高橋(2025)の図3
これはすごい、と思ったのですが、ただ冷静に考えれば、今の高齢者の方々は、退職してなお働きに出て、それでこの状況と考えると、やっぱりこの数十年は苦しい時代だったのかなとも感じます。
あと、それとは別に、このグラフの横軸は現役世代と高齢世代の人口の割合がわかるようになっているのですが、これをみると、本当に高齢世代の割合が大きく増加しているなと実感します。実際論文でも、現役世代と高齢世代の人口構成の変化は、中間層の割合に結構影響する要因になっていると指摘しています。
なかなか勉強になる論文でした。
参考文献
篠崎武久・高橋陽子(2025)、「中間層の暮らし向きは案外良くない」、JILPT Discussion Paper No.25-03、労働政策研究・研修機構
コメントを残す