今回は、80年代以降の金融政策に焦点をあててみてみたいと思います。それに先立って、まずは少し理論的な分析から入ってみようと思います。ちょっと数式が出てきますが、ご了承下さい。
まず、簡単なモデルを考えてみましょう(以下のモデルは“マンキューマクロ経済学”を参考にしています)。
財・サービスの需要

とします。Ytは財・サービスの総生産、右辺の1項目は自然産出量、rtは実質利子率、εtはランダムな需要ショック、αとσはパラメータとします。
また、財・サービスの供給を

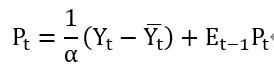
とします。Et-1Ptは期待物価水準(つまり予測値)、Ptは実際の物価水準で、意味するところは、物価水準が予測値から上振れると、産出量が増加するということになります。この式は少し変形を加えます。
まず、

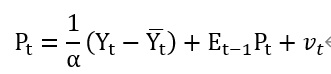
として、さらに物価水準や財・サービスの供給を変動させるような経済ショックvtを加え

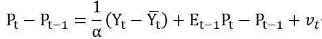
となります。さらに、前年の物価水準Pt-1を両辺から引いて、

となるので、これを整理すると

となるので、

と書けます。ここで、φ、vtは改めて置きました。今、Et-1πtについて、単純化のため、人々は直近に観察したインフレ率をインフレ期待にすると考えると(これは“適応的期待”といわれています)、Et-1πtはπt-1となります。
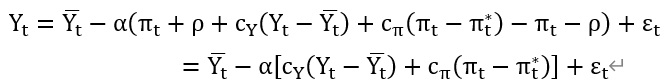
もう1つ、金融政策の式を

とします。ρは自然利子率、πt*は中央銀行の目標インフレ率となります。ですので、生産が自然産出量よりも大きかったり、インフレ率が、中央銀行の目標値よりも高くなる場合には、中央銀行は金利を引き上げます(ただ、この辺はパラメータ次第)。
ここで、(1)と(3)の式を用いて、もう1つ式を導出します。まず、(1)式にフィッシャー方程式を代入すると、

となりますが、このitに(3)式を代入し、またEtπt+1=πt(適応的期待)とすると、

となるので、整理すると、

となります。ここまでで準備が終わりました。長かったですね…..
まず、式(4)と(2)の関係をみてみたいと思います。例えば縦軸にインフレ率πt、横軸に生産Ytをとったグラフでは、(4)式は右下がり、(2)式は右上がりとなります。
このとき、例えば、中央銀行がインフレ率に対して強く反応し、一方で生産に対しては弱く反応する、つまりcπが大きくcYが小さくなる場合を考えます。この場合、(4)式をみると、πtの比較的小さな変動でYtが大きく変動するので、極端なことをいえば(4)式は水平になります。
その場合には、(2)式の供給ショック、例えば正の供給ショックを考えると、πtは大きく動かないので、φが正の場合、Ytが大きく減少することがわかりますが、これは、インフレ率が上昇するような供給ショックに直面すると、中央銀行はYtの動向をあまり気にせず政策金利を引き上げ、それによってインフレ率の上昇は抑制されますが、かわりに景気後退がおきてYtが大きく減少するということを意味します。
また、中央銀行がインフレ率に対して弱く反応し、一方で生産に対しては強く反応する場合には(cπが小さく、cYが大きい場合)、極端にいえば(4)式は垂直になるため、この国の経済は、(2)式の供給ショックによってインフレ率の上昇を経験することになります。つまり、インフレ率が上昇しても、景気後退のリスクを考えて、強く金利の引き上げに動かないということです。
2つの例はどちらも極端でしたが、では、実際のところはどうなのでしょうか。
インフレ率との関係については、“テイラー原理”と呼ばれる、有名な考え方があります。これを先ほどのモデルでみてみようと思います。今、(3)式をみると、1%のインフレ率の上昇に対して、中央銀行は、1+cπ%名目利子率を引き上げることがわかります。
ここで、フィッシャー方程式はrt=it-Etπt+1=it-πt(最後は適応的期待形成を仮定)ですが、cπ>0の場合には、実質利子率も引き上げられることになり、経済は引き締められます。一方で、cπ<0の時には、実質利子率は下がることになり、経済はむしろ緩和的になります。
つまり、インフレ率を安定的に保つためには、中央銀行はインフレ率の上昇に対して、それを上回る名目利子率の上昇で対応しなければならないということになり、これをテイラー原理と呼んでいます。
米国については、例えばClarida,Gali, and Gertler(2000)が、1970年代くらいまではcπ<0でしたが、それ以降はcπ>0になっていて、テイラー原理に従っていると指摘しています。また、Mizen,Kim, and Thanaset(2007)では、英国と日本についても、中央銀行がテイラー原理に従っていると分析しています。
一方、欧州については、1999年以前のドイツや、やはり1999年以前の仮想的なユーロ圏に関する分析では、テイラー原理が成り立っているという結果が得られているものの(Clarida,Gali, and Gertler(1998)、Clausen and Hayo(2002)、Peersman and Smets(1998))、その後の研究では、テイラー原理に従っているとする研究もあるものの(Fourçans and Vranceanu (2002))、テイラー原理よりもインフレに対する中央銀行の反応は鈍いとする推計結果が多くあります(Gerdesmeier and Roffia (2003)、Ullrich (2003)、Belke and Polleit(2007))。
(注)EUの共通通貨であるユーロは、1999年1月1日に電子的な取引(銀行間送金や金融市場)で導入され、実際の紙幣・硬貨の流通は2002年1月1日から開始されました。当初11カ国でスタートし、現在はEU加盟国を中心に20カ国以上で使われています。
他にも、米国の場合、FRBの金融政策の目的を“最大の雇用、安定した価格、適度の長期利子率という目的を効果的に推進する”ことであるとしているのに対して、ECBは“ECBの金融政策の主要な目的は物価の安全を維持することである。ECBは中期的に2%以下で、2%に近いインフレ率を目指す”としています。
2008年の世界金融危機は、こうした違いをよく表しています。この時には、経済は原油価格の上昇と金融危機を経験し、経済は停滞していました。これに対して、FRBは政策金利を年初の4.25%から年末までに0~0.25%まで下げました。一方でECBは、やはり利子率の引き下げを行いましたが、3%から2%と大きさは小さい範囲にとどまりました。この違いは、ECBがよりインフレ抑制に重きを置いていることから来ているといえます。
参考文献
グレゴリー・マンキュ(足立英之・地主敏樹・中谷武・柳川隆 訳)(2024)、『マンキューマクロ経済学』、東洋経済新報社
Belke, A., and T. Polleit(2007).”How the ECB and the US Fed Set Interest Rates,” Applied Economics, Taylor & Francis Journals, 39(17), 2197-2209.
Clarida, R., Galí, J., and Gertler M. (1998),“Monetary Policy Rules in Practise: Some International Evidence,” European Economic Review,42,1033-1067.
Clarida, R., Galí, J. and Gertler M. (2000), “Monetary Policy Rules and Macroeconomic Stability: Evidence and Some Theory”, Quarterly Journal of Economics, 115, 147-180.
Clausen, V., and Hayo B. (2002), “Monetary Policy in the Euro Area – Lessons from the First Years,” ZEI Working Paper, B 02-09.
Fourçans, A., and Vranceanu, R. (2002), “ECB Monetary Policy Rule: Some Theory and Empirical Evidence,” ESSEC Working Papers DR 02008, ESSEC Research Center, ESSEC Business School.
Gerdesmeier, D. and Roffia, B. (2003), “Empirical Estimates of Reaction Functions for the Euro Area,” ECB Working Paper, 206, European Central Bank.
Mizen, Paul, Tae-Hwan Kim, and Alan Thanaset(2007). “Evaluating the Taylor Principle Over the Distribution of the Interest Rate: Evidence from the US, UK and Japan,” Money Macro and Finance (MMF) Research Group Conference 2006 51, Money Macro and Finance Research Group.
Peersman G., and Smets, F. (1998), “Uncertainty and the Taylor Rule in a Simple Model of the Euro-area Economy,” Ghent University Working Paper.
Ullrich, K. (2003), “A Comparison Between the Fed and the ECB: Taylor Rules,” ZEW Discussion Paper 03-19.
コメントを残す